旧网站入口
首页
部门简介
就业资讯
通知公告
工作动态
招聘活动
校园宣讲会
校园招聘会
站内招聘
实习信息
招聘信息
就业指导
就业育人
经验分享
简历制作
面试技巧
常见问题
政策法规
在线咨询
办事流程
学习平台
学校首页
联系方式
微信扫码关注
东莞理工学院就业指导中心公众号
就业指导与服务中心电话
0769--22861918
就业指导与服务中心传真
0769--22861918
首页
>
资料下载
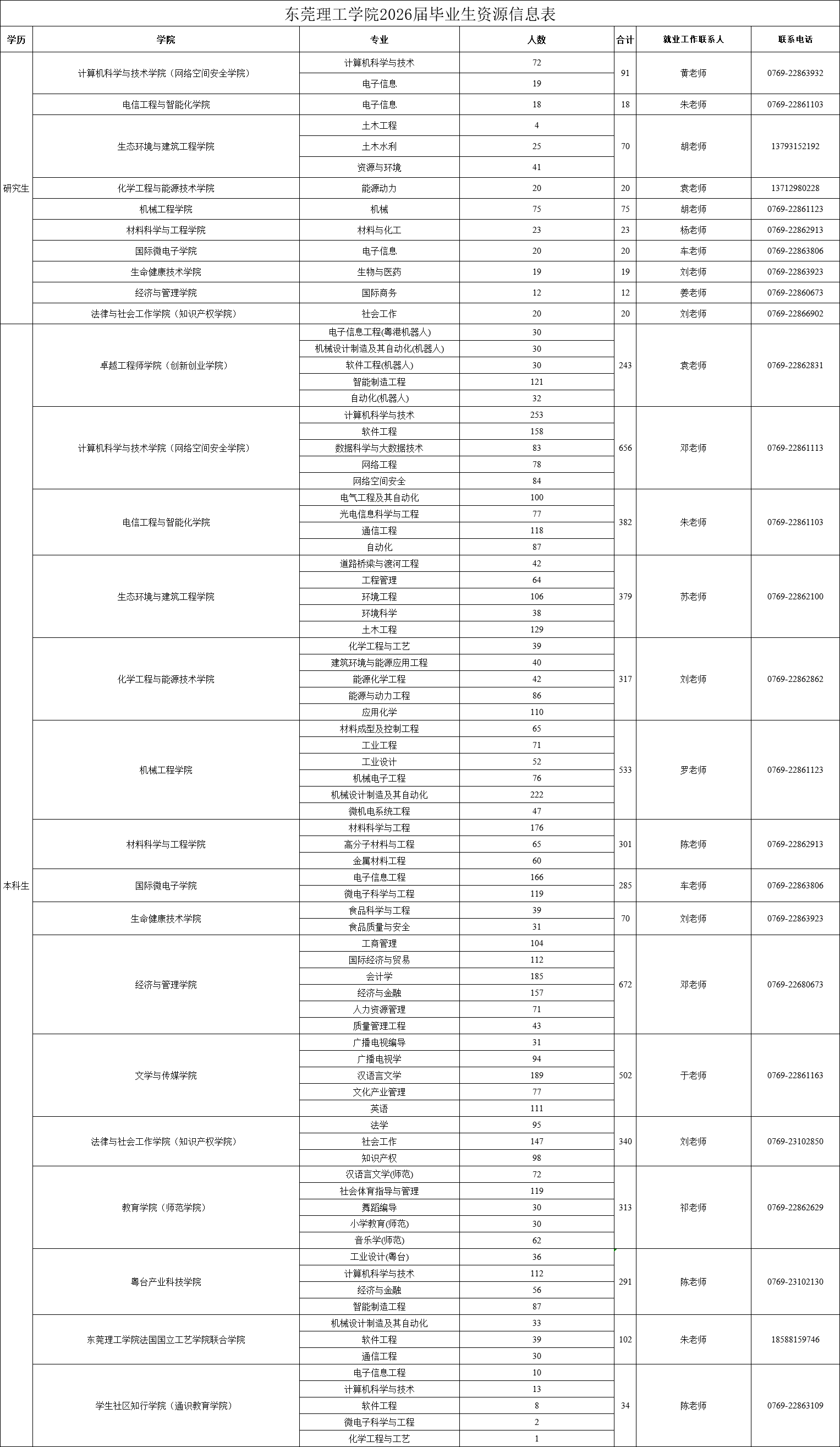
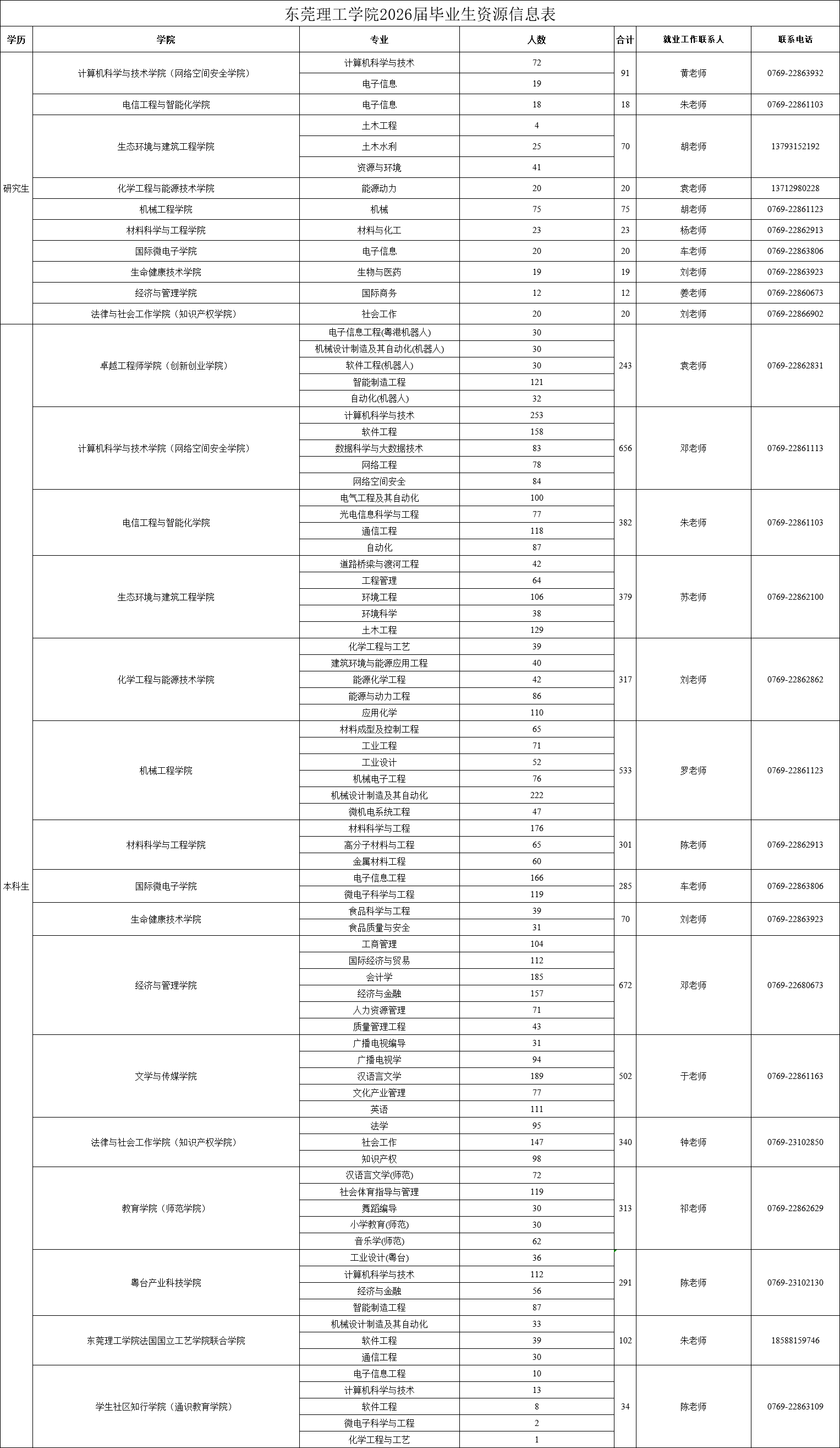
东莞理工学院2026届毕业生资源信息表
日期:2025年09月06日